欢迎光临潍坊工程职业学院建筑工程学院!

教研科研

你当前所在的位置: 首页 > 新闻动态 > 正文
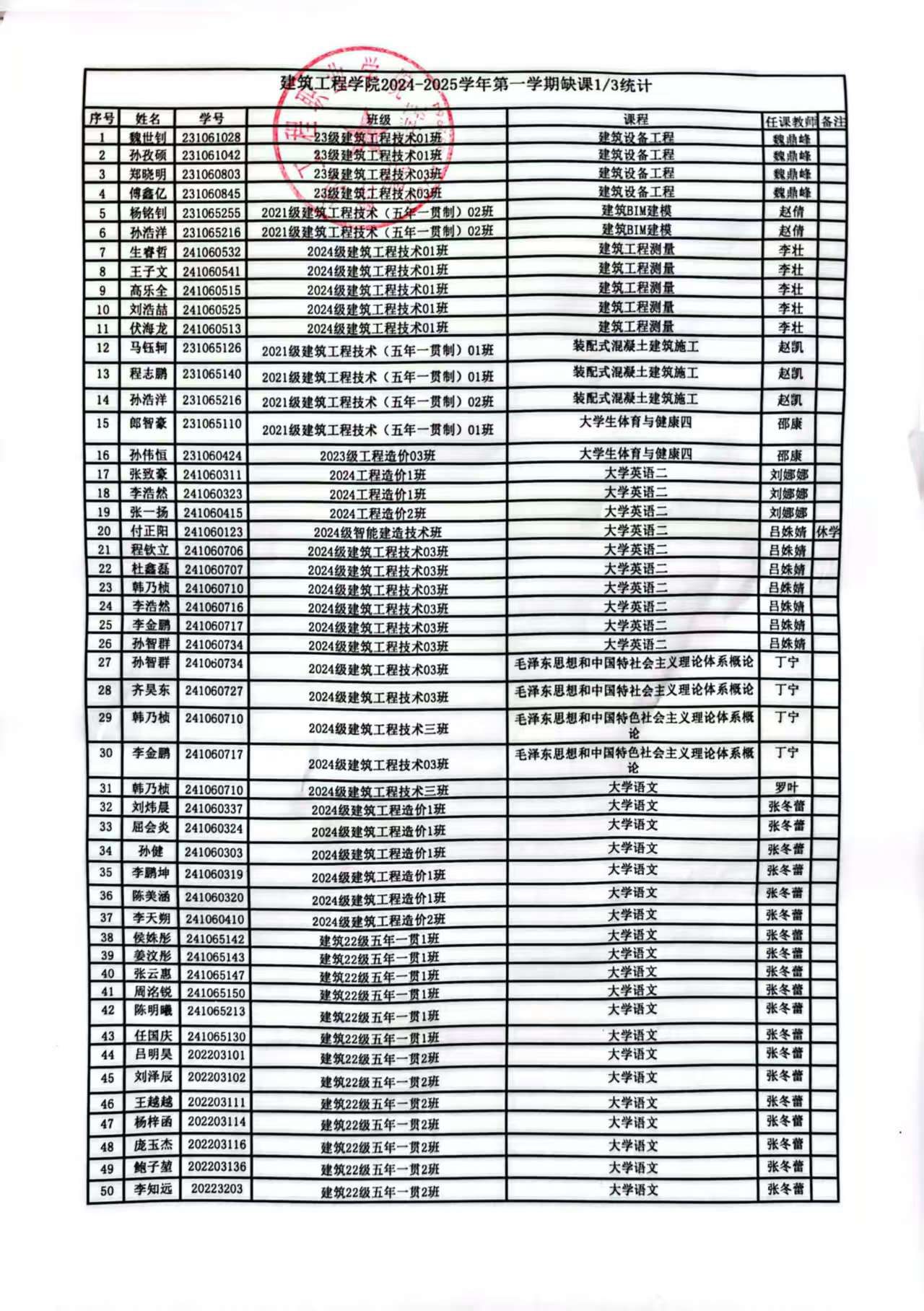
建筑工程学院2024-2025学年第2学期缺课三分之一学生名单公示


建筑工程学院2024-2025学年第2学期缺课三分之一学生名单公示

undefined


欢迎光临潍坊工程职业学院建筑工程系!
科研工作
我系1部教材被评为2017年山东省职业院校优秀教材
        近日,山东省职业技术教育学会公布了2017年山东省职业院校优秀教材评选结果,我院选送的李京东主编《食品分析与检验技术》、赵建磊主编《职业人文基础》、闫国艳主编《建筑CAD》、薛有奎主编《税法与纳税会计(第二版)》、丛娜主编《手工制作》5部教材被评为2017年度山东省职业院校优秀教材。
       根据《山东省职业技术教育学会关于开展优秀教材评选活动的通知》(鲁职学教字2017[1]号)精神,教务处组织了山东省职业院校优秀教材申报工作,经校内专家评审,选送5部教材参加评选。此次获奖充分体现了我院近年来积极推进教材建设的显著成绩,将有效推动今后的教材建设和专业建设,引导我校教育教学研究与改革向着更高层次、更高水平发展。


  • 首页

  • 一键拨号

  • 分享代码

  • 联系方式